leolavanderia.com.br
HOME
About
Contact
Disclaimer
Privacy
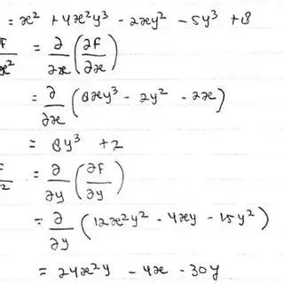
Solving the Second Example
Oct 13, 2025
by leolavanderia.com.br
80
views